Sugar is essential for life on Earth. It can be found in nearly all food sources. What is sugar, where does it come from, and (this may seem like a strange question to ask) what is it used for. This blog post attempts to answer these questions.
What is sugar
The term sugar is generic. Most of us are familiar with granulated table sugar. However, it turns out that table sugar is only one type among many. Chemistry-wise, table sugar is the called sucrose with the chemical structure shown below.

There are many different types of sugars in addition to table sugar. Another sugar that many would be familiar with is lactose, or milk sugar. It has the following chemical structure:

Both sucrose and lactose molecules have two ring systems that are linked together by a bond that looks like

or

. The two rings in the sucrose (table sugar) molecule are glucose and fructose, while the rings in the lactose (milk sugar) molecule are glucose and galactose. Therefore, sucrose comes from the chemical reaction that links one glucose molecule with one fructose molecule and lactose comes from the chemical reaction that links one glucose molecule with one galactose molecule. The chemical structures for glucose, fructose and lactose are shown below.

So, if sucrose comes from glucose and fructose and lactose comes from glucose and galactose, where do glucose, fructose, and galactose come from?
Where does sugar come from?
The source of sugar is one of the most elegant stories that the universe has to offer. Our planet Earth orbits the sun, also known as Sol, in a position within habitable zone that allows for liquid water, two hydrogen atoms to one oxygen atom or H2O, to exist on the surface as shown below.

The fact that liquid water persists on Earth is very important to answering the question as to where sugar comes from. Sucrose, lactose, glucose, galactose, fructose all contain carbon, oxygen and hydrogen. The oxygen and hydrogen come from water and the carbon comes from carbon dioxide which is in the atmosphere of Earth. Thus, sugar is water forming a chemical compound with carbon; hence the term carbohydrates. Sugars are carbohydrates.
How is sugar formed?
Sugar comes from plant life on Earth. Plants have a molecule in them called chlorophyll that makes them green and sometimes purple, or even black.

Chlorophyll strongly absorbs photons in the blue and red regions of the electromagnetic spectrum. Photons have energy associated with them. The energy from the sun is absorbed by chlorophyll and is used to combine carbon dioxide and water to make carbohydrates (sugar) according to the following, simplified equation.

Thus, from the sun, carbon dioxide, water, Earths orbital position around the sun, and the chlorophyll molecule, we get two things we need for our survival: glucose (food for us to eat) and oxygen for us to breath; this is photosynthesis.
Natures Batteries
Think of photosynthesis as natures original solar cell, and sugars as natures molecular batteries. Many different sugars are formed from photosynthesis. For example, there are trioses (sugar molecules having three carbons, such as glyceryl aldehyde and 1,3-dihydroxyacetone), tetroses (sugar molcules having four carbons, such as erythrose and xylulose), pentoses (sugar molecules having five carbons, such as ribose), and hexoses (sugar molecules having six carbons, such as fructose, mannose, glucose). All of these are simple sugars or monosaccharides, meaning they are foundational sugars that cannot be broken down further to yield an even simpler sugar. There are many different monosaccharide sugar molecules out there, but the one most important for animal life is glucose as it is used for energy to power the biological systems. Other hexoses, such as mannose or fructose, are converted to glucose (by the liver), and the resulting glucose is then used for energy. Plants use glucose for energy just as we use glucose for energy. However, plants typically produce excess glucose and other monosaccharides. Through further reactions, plants store the energy by combining monosaccharides into larger entities. One such entity is sucrose (table sugar). As described earlier, sucrose is made of one glucose molecule and one fructose molecule both of which are simple sugars. Thus, sucrose is a disaccharide or a sugar molecule comprised of two simple sugars. However, plants do not stop there, they can make even bigger molecules with simple sugars.
Big molecules of glucose
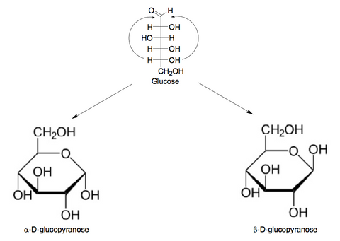
All plant matter on earth is derived from sugars. In addition to mono- and disaccharides, there are even larger sugar structures called polysaccharides. Glucose performs an internal cyclization as shown below to yield a ring structure, ?-D-glucopyranose or ?-D-glucopyranose. Roughly one-third of glucose becomes the alpha form and two-thirds becomes the beta. The alpha and beta forms of the pyranose forms of glucose have different uses by the plant.

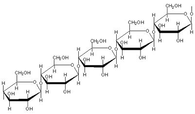
Plant life takes the alpha and beta ring forms of glucose and makes large molecules out of them by linking them together using

and

type structures (bonds). Macromolecules of several million in molecular weight can be formed. There are monosaccharides for simple sugars, disaccharides for sugars that link two simple sugars together, and there are polysaccharides for very large macromolecular sugars. Macromolecules consisting a-ringed structure of glucose units are called the sugars amylose and amylopectin, which constitute starch. Starch is another form of energy storage for the plant. The plant (and animal life) can use the starch as a food source later on. Our bodies produce amylase, an enzyme which catalyzes the decomposition of amylose into glucose units for us to use as energy.

Macromolecules consisting of b-ringed glucose units is called cellulose. Cellulose constitutes the cell walls of plants. Wood is composite of cellulose and lignin. Cellulose supports the trees against Earths gravity. Cellulose is a very strong structural material because the chains strongly interact with each other. However, we lack the enzyme to decompose cellulose. Hence, we cannot use cellulose as a food source.

Summary
This article provides a brief description of what is sugar. Sugar is much more than just table sugar (sucrose), but certainly table sugar is an important sugar for us. The word sugar encompasses a very wide range of molecules. Sugars are the photosynthesis products of plant chlorophyll combining energy from the sun, water and carbon dioxide. Photosynthesis yields a variety of simple sugars including glucose, an energy source for our bodies. Glucose and the other simple sugars combine to make more complex disaccharides such as sucrose (table sugar) and polysaccharides such as starch and cellulose all of which fall under the name sugar.
Thanks for reading.
Dr. Brenden Carlson
About SGC:SGC is an R&D focused developer of nutraceutical and pharmaceutical gummy products. The company specializes in formulating Functional Gummy products combining the wealth of the in-house knowledge in pharmaceutics, chemistry, western medicine and herbal medicine. The company provides performance gummies inspired by Traditional Chinese Medicine including MOCCA SHOTS, ENERGON QUBE, FUNTIONAL FRUIT, and SEATTLE BEAUTY. All SGC products are made only with all-natural ingredients and are vegan, gluten free, non-GMO, and always made in USA.